54P/de Vico-Swift-NEAT (0054P)

TRY AGAIN 2031

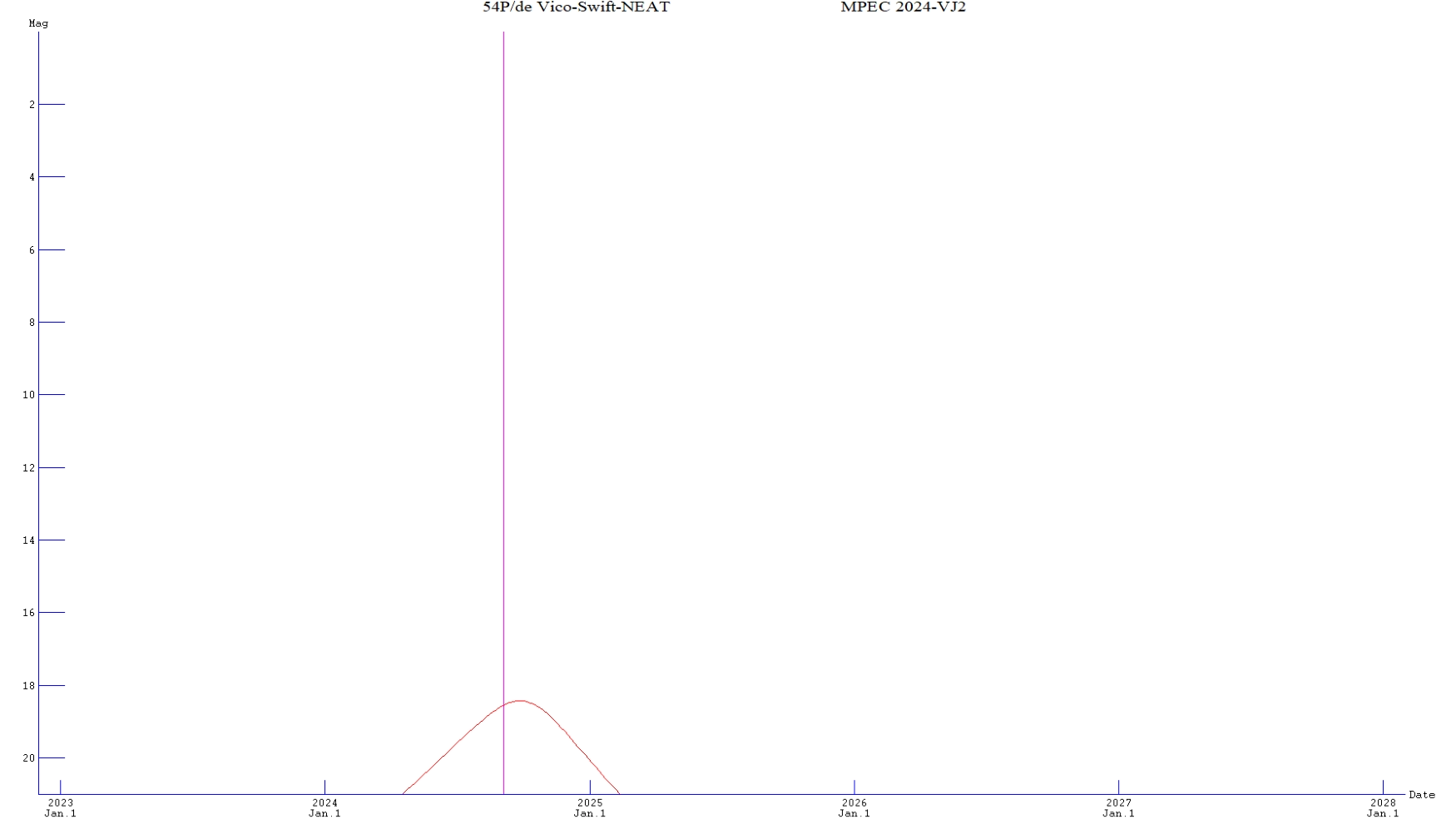
Type: Periodic Perihelion date: 3 September 2024 Perihelion distance (q): 2.2 Aphelion distance (Q) : 5.4 Period (years): 7.4 Eccentricity (e): 0.43 Inclination (i): 6.1 JPL orbit diagram COBS lightcurve Francesco de Vico (Rome, Italy) discovered this telescopic comet during a routine search for comets on 23 August 1844. It was situated in Aquarius, 0.20 AU from Earth and 1.19 AU from the sun. Independent discoveries were made by Melhop (Hamburg, Germany) on 6 September and by Hamilton L. Smith (Cleveland, Ohio, USA) on 10 September. Edward Swift (Echo Mountain, California, USA) discovered this comet on 21 November 1894. It was then situated in Aquarius and was described as very faint, with a small nucleus and a faint, short tail. Even before an orbit was published, A. Berberich suggested the comet might be the same as de Vico's comet on the basis of the comet's location and direction of motion. K. Lawrence, S. Pravdo, and E. Helin (Jet Propulsion Laboratory, California, USA) announced the discovery of a comet on images obtained on 11 October 2002 by the Near Earth Asteroid Tracking (NEAT) program at Palomar Observatory (California, USA). They gave the magnitude as 19.3 and noted a nuclear condensation about 4 arc seconds across and a tail about 20 arc seconds long. Several prediscovery images from 4 and 9 October were then found by members of the LINEAR program (New Mexico). B. G. Marsden (Central Bureau for Astronomical Telegrams) calculated an elliptical orbit and the comet was designated comet P/2002 T4. K. Muraoka (Kochi, Japan) identified this as a return of comet 54P/de Vico-Swift, which was confirmed by Marsden. The 1844 apparition was exceptional because the comet passed only 0.19 AU from Earth on 1 September. The comet was not recovered at subsequent returns. That of 1850 was not particularly favorable, but the 1855 return was very favorable because of the comet's approach to within 0.58 AU from Earth. Numerous searches were conducted during the later year, but cloudy weather hampered the large European observatories during the best observing times. Goldschmidt reported an object on May 17 which was only 1.5° from the predicted position. The object was not seen after that date and later calculations revealed it could not have been de Vico's comet. After further unsuccessful searches in 1860 and 1866, the comet was considered lost. After the 1894 discovery the comet steadily faded. When last seen on 30 January 1895 the magnitude had declined to 14. Schulhof noted the comet had passed 0.60 AU from Jupiter in 1885 which accounted for the differences between the 1894 orbit and that of 1844. F. H. Seares set out to compute its future path and noted a close approach to Jupiter (0.44 AU) in 1897 that would act to increase the orbital period from 5.85 to 6.40 years. The 1901 return was very unfavorable and the comet was not found. The 1907 return was more favorable and numerous searches were made, the highlight of which was a 3.5-hour photographic exposure by A. Kopff, but no trace of the comet was found. The comet was again lost. The likelihood of de Vico's comet of 1844 and Swift's comet of 1894 being identical had never been absolutely determined until 1965. Using a computer, B. G. Marsden linked the 1844 and 1894 comets. Joachim Schubart confirmed the correctness of Marsden's calculations, but with an 11-day difference in the perihelion date. Arnold Klemola (Yale-Columbia Southern Observatory, Argentina) recovered the comet on 30 June 1965 at magnitude 17. The comet became as bright as 15 in late September. It was last seen on 15 October because of its entrance into twilight. The comet passed 0.158 AU from Jupiter following the 1965 apparition, which increased the perihelion distance from 1.62 AU to 2.18 AU and increased the orbital period from 6.31 years to 7.38 years. Subsequently, the most favorable apparition was not expected to be brighter than magnitude 18. The comet was not recovered at its apparitions of 1980, 1987 or 1995. Observations (VEMag = visual equivalent magnitude) Date 10x10 mag Error VEmag Coma ' 05-Aug-24 20.3 0.4 09-Aug-24 19.5 0.4 30-Aug-24 19.3 0.4 01-Oct-24 18.8 0.4 30-Oct-24 19.5 0.4 05-Nov-24 19.5 0.4 26-Nov-24 20.4 0.4 03-Dec-24 20.3 0.4