113P/Spitaler (0113P)

TRY AGAIN 2028

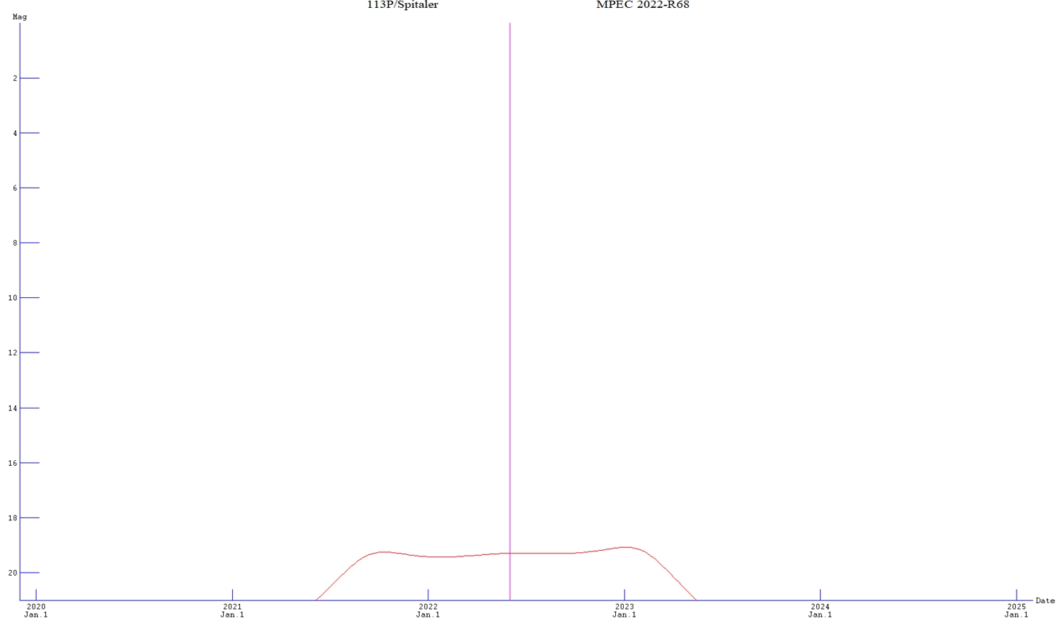
Type: Periodic Perihelion date: 1 June 2022 Perihelion distance (q): 2.1 Aphelion distance (Q) : 5.2 Period (years): 7.1 Eccentricity (e): 0.42 Inclination (i): 5.3 JPL orbit diagram COBS lightcurve R. Spitaler (Vienna, Austria) discovered this comet on 17 November 1890, while attempting to make his first observations of a new comet that is now known as C/1890 V1 (Zona). He found a faint nebulous object near the likely extrapolated position of the comet; however, he noted it seemed too faint to be Zona's comet. He began moving the telescope back and forth, and soon came upon the comet discovered by Zona. The comet was almost lost, because it was so faint that only large telescopes could see it. During the nights following the discovery, Spitaler and several key European observatories were hampered by bad weather. It was hoped that the comet would be confirmed by the United States observatories, but the telegram containing the announcement gave an erroneous discovery position, so that they were searching in a different part of the sky. By the morning of 25 November, with there still being no confirmation of the comet's existence, Spitaler was greeted with clear skies shortly before the beginning of twilight and began sweeping for the comet. He found a cometary object a few degrees northwest of the discovery position and estimated its position. Unfortunately, morning twilight quickly washed out the object. Moonlight and bad weather followed before Spitaler could again search for the comet. On 4 December he found an object that matched the appearance of his 17 November comet. He described it as about magnitude 13, with a round coma 0.5 arc minute across and a distinct nucleus. The comet faded during the remainder of the 1890-1891 apparition, as it moved away from both the sun and Earth. It was last observed on 4 February 1891, when Spitaler saw it with the 69-cm refractor and described it as quite faint and diffuse. The comet's next expected apparition was in 1897, but it was not recovered and remained lost for the next several decades. The comet was accidentally rediscovered by J. V. Scotti (Spacewatch, Kitt Peak Observatory, Arizona, USA) on 24 October 1993, with total magnitude as 17.2 and nuclear magnitude as 19.6. He also noted a coma 18 arc seconds across and a tail extending 0.76 arc minute in PA 234°. Scotti suggested this was Spitaler's comet and B. G. Marsden was able to roughly link the 1890 and 1994 apparitions. Observations (VEMag = visual equivalent magnitude) Date 10x10 mag Error VEmag Coma ' 28-Oct-22 19.1 0.4 25-Nov-22 18.2 0.4 28-Jan-23 17.5 0.4 19-Feb-23 18.2 0.4 28-Feb-23 18.7 0.4 12-Mar-23 19.4 0.4