115P/Maury (0115P)

TRY AGAIN 2028

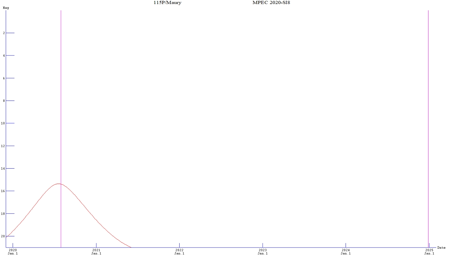
Type: Periodic Perihelion date: 29 July 2020 Perihelion distance (q): 2.1 Aphelion distance (Q) : 6.5 Period (years): 8.8 Eccentricity (e): 0.52 Inclination (i): 11.7 JPL orbit diagram COBS lightcurve Alain Maury discovered this comet on photographic exposures obtained with the 1.2- m Schmidt telescope at Palomar Observatory (California, USA) by J. Schombert on 16 and 17 August 1985. He described it as diffuse, with a condensation and a short tail. The total magnitude was given as 16. James V. Scotti (Steward Observatory, Arizona, USA) detected the comet with a 0.91- m telescope on 3 and 4 May 1994. Magnitudes were given as 17.7 to 17.9 and the comet was said to be exhibiting a coma 9 arc seconds across and a tail 0.25 arc minute long that was extending westward. The comet was kept under observation until 25 October 1994, when it was seen at Kuma Kogen Observatory in Japan. The comet was detected near its aphelion by astronomers at Mauna Kea (Hawaii, USA) on 30 December 1997. Observations (VEMag = visual equivalent magnitude) Date 10x10 mag Error VEmag Coma ' 26-May-20 17.25 0.04 16.9 0.3 09-Oct-20 17.76 0.13 17.2 0.4 07-Nov-20 17.9 0.4 17-Nov-20 18.1 0.4