227P/Catalina-LINEAR (0227P)

TRY AGAIN 2029

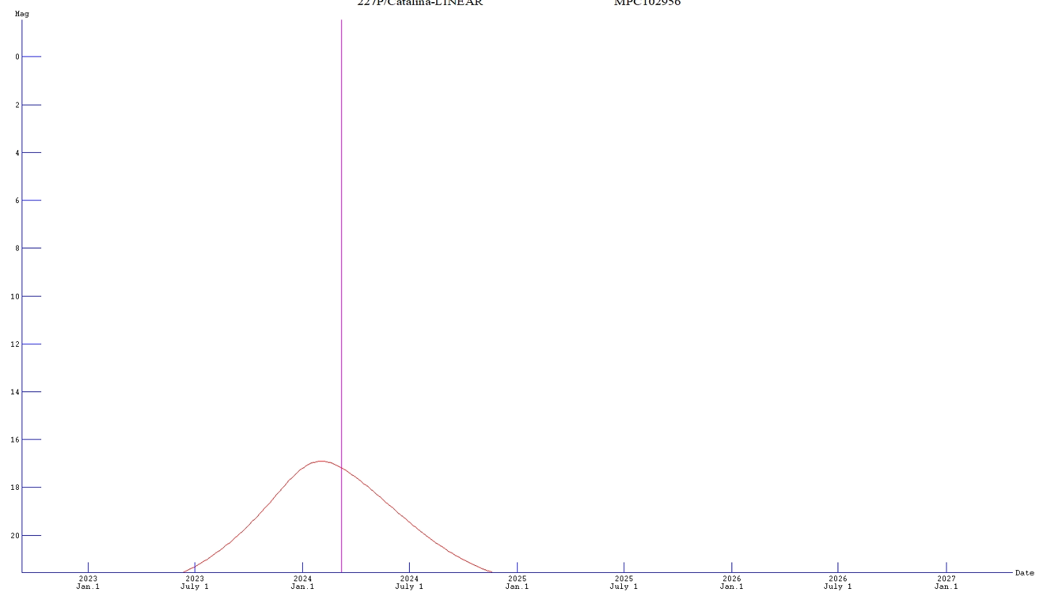
Type: Periodic Perihelion date: 7 March 2024 Perihelion distance (q): 1.6 Aphelion distance (Q) : 5.3 Period (years): 6.4 Eccentricity (e): 0.53 Inclination (i): 7.4 JPL orbit diagram COBS lightcurve 227P/Catalina-LINEAR = 2004 EW38 = 2009 S4 An apparently asteroidal object reported independently by the Catalina and LINEAR surveys was found to be cometary, based on observations from two observatories on 14 April 2004. Read and Larsen, using the 0.9-m f/3 Spacewatch reflector at Kitt Peak, reported a tail 100" long in p.a. 300 deg, extending asymmetrically from the south part of the nuclear condensation. Exposures by Hergenrother with the 1.2-m reflector at Mt. Hopkins show a very condensed 9" coma and a narrow tail 210" long in p.a. 295 deg. Jim Scotti recovered the comet using the 1.8-m Spacewatch telescope at Kitt Peak on 21 September 2009, noting a stellar appearance. Observations (VEMag = visual equivalent magnitude) Date 10x10 mag Error VEmag Coma ' 17-Dec-23 18.4 0.4 10-Jan-24 16.8 0.4 19-Jan-24 16.5 0.4 31-Jan-24 15.9 0.4 07-Feb-24 15.7 0.4 05-Mar-24 15.8 0.4 04-Apr-24 16.3 0.4 06-May-24 17.0 0.4 23-May-24 17.4 0.4 02-Jun-24 17.7 0.4 02-Jul-24 18.8 0.4