346P/Catalina (0346P)

TRY AGAIN 2026

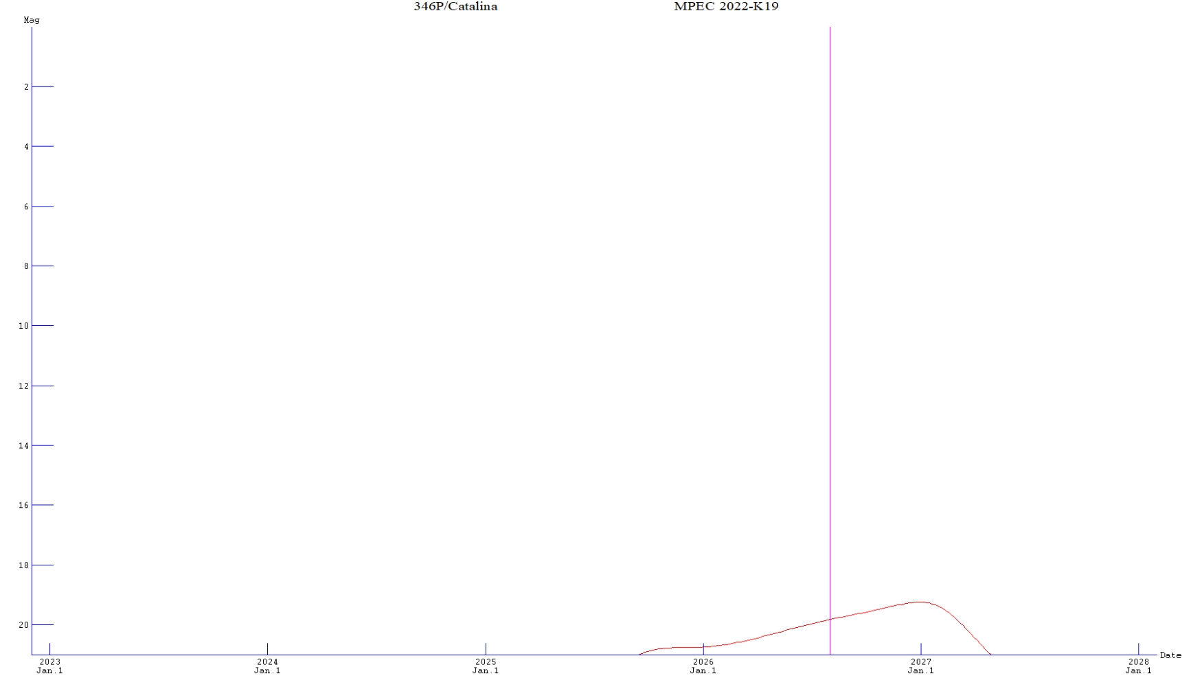
Type: Periodic Perihelion date: 1 August 2026 Perihelion distance (q): 2.2 Aphelion distance (Q) : 6.7 Period (years): 9.5 Eccentricity (e): 0.50 Inclination (i): 22.2 JPL orbit diagram COBS lightcurve Atlas P/Catalina = 2007 T6 = 2016 R1 An apparently asteroidal object of 18th magnitude, found with the 0.68m Schmidt during the Catalina Sky Survey on 13 October 2007 and posted on the NEOCP was found to show a coma and faint tail on images taken by J W Young with the Table Mountain 0.61-m f/16 Cassegrain reflector. The comet has also been identified with asteroid 2007 TU149 by S Nakano. The comet was recovered by Krisztian Sarneczky and P Szekely with the 0.6m Schmidt at Piszkesteto Station of Konkoly Observatory on 1 September 2016. Observations (VEMag = visual equivalent magnitude) Date 10x10 mag Error VEmag Coma ' 19-Dec-16 18.13 0.05 17.8 0.2 26-Dec-16 18.44 0.31 17.1 0.2 17-Jan-17 18.36 0.08 17.9 0.2 22-Jan-17 18.42 0.06 17.9 0.2