365P/PANSTARRS (0365P)

TRY AGAIN 2028

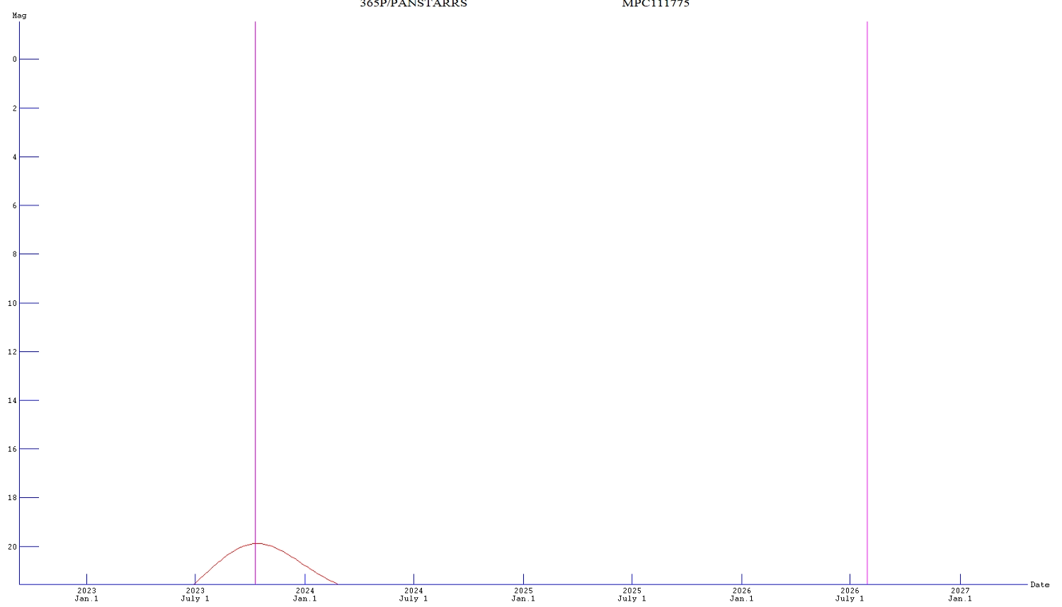
Type: Periodic Perihelion date: 11 October 2023 Perihelion distance (q): 1.3 Aphelion distance (Q) : 5.0 Period (years): 5.7 Eccentricity (e): 0.58 Inclination (i): 9.8 JPL orbit diagram COBS lightcurve 2000 XO8 = P/2011 WG113 = 2017 U6 = 365P An asteroid discovered by LINEAR on 1 December 2000 was found to show a coma and tail in images taken by the Deep Ecliptic Patrol of the Southern Sky (DEEP- South) team, in CCD images taken with the Korea Microlensing Telescope Network (KMTNet) 1.6-m f/3.22 telescope at Siding Spring Observatory (SSO) in Australia in October and the same type of telescope installed at Cerro Tololo Interamerican Observatory (CTIO) in Chile in November. The comet was at perihelion at 1.5 au in October 2017 and was previously classed as an Outer Main-belt asteroid. It has a Jupiter MOID of 0.016 au, and will pass 0.23 au from the planet in 2042. This will be followed by an approach to the Earth at 0.33 au in 2051. An apparently asteroidal object of 21st magnitude was discovered in PanSTARRS images taken with the 1.8m Ritchey-Chretien on 24 November 2011 and also observed on 2 December 2011. This was designated 2011 WG113. The object was re-discovered by PanSTARRS on 21 October 2017, still appearing as asteroidal. Subsequent observations in February 2018 by the Catalina and Mt Lemmon telescopes showed a diffuse coma and tail, so it was designated as 2017 U6. Observations (VEMag = visual equivalent magnitude) Date 10x10 mag Error VEmag Coma ' 08-Apr-18 17.41 0.01 16.7 0.4 17-Apr-18 17.81 0.05 16.5 0.4 03-May-18 18.45 0.07 18.2 0.2