487P/Siding Spring (0487P)

TRY AGAIN 2035

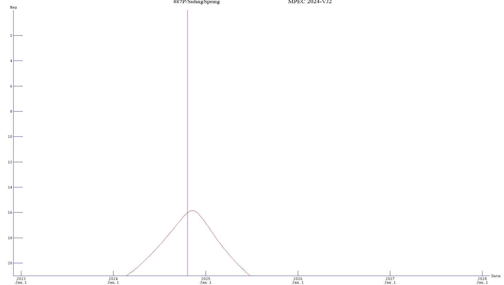
Type: Periodic Perihelion date: 20 October 2024 Perihelion distance (q): 1.8 Aphelion distance (Q) : 8.5 Period (years): 11.7 Eccentricity (e): 0.65 Inclination (i): 39.4 JPL orbit diagram COBS lightcurve Atlas 87P/Siding Spring = 2012 US27 = 2024 N5 This unusual asteroid was discovered during the Siding Spring Survey with the 0.5-m Uppsala Schmidt on 17 October 2012. The orbit has a Tisserand criterion of 2.20 with respect to Jupiter. In November, further observations at Siding Spring showed that it had cometary features and it was reclassified. Observations (VEMag = visual equivalent magnitude) Date 10x10 mag Error VEmag Coma ' 31-Aug-24 17.7 0.4 08-Sep-24 17.4 0.4 27-Sep-24 16.7 0.4 07-Oct-24 16.4 0.4 30-Oct-24 16.1 0.4 05-Nov-24 15.9 0.4 21-Nov-24 15.8 0.4 29-Nov-24 15.9 0.4 07-Dec-24 16.0 0.4 19-Dec-24 16.6 0.4 03-Jan-25 16.9 0.4 16-Jan-25 17.3 0.4 26-Jan-25 17.7 0.4 03-Feb-25 18.0 0.4 13-Feb-25 18.2 0.4 25-Feb-25 18.0 0.4 15-Apr-25 19.2 0.4