P/2010 H2 (Vales)

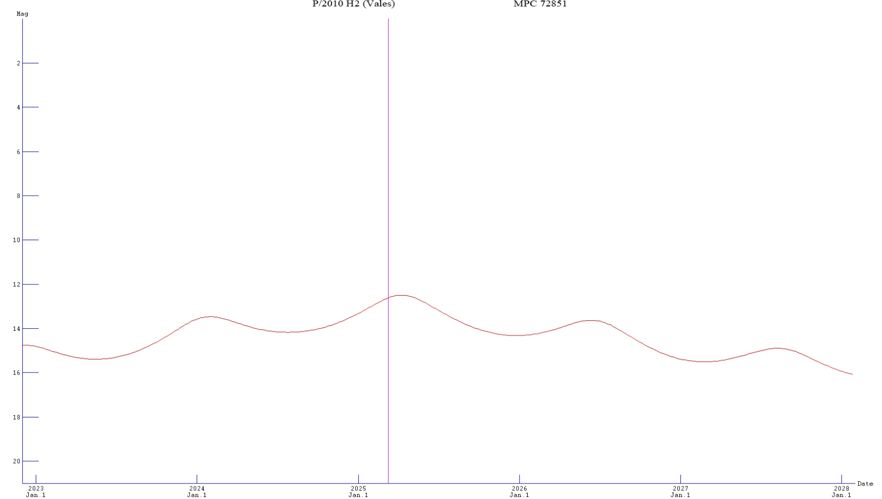
Type: Periodic Perihelion date: 9 March 2025 Perihelion distance (q): 3.1 Aphelion distance (Q) : 4.6 Period (years): 7.5 Eccentricity (e): 0.2 Inclination (i): 14.3 JPL orbit diagram COBS lightcurve Atlas Rik Hill discovered a 17th magnitude comet on January 8.10 during the Catalina Sky Survey with the 0.68m Schmidt. Observations (VEMag = visual equivalent magnitude) Date 10x10 mag Error VEmag Coma ' 21-Nov-24 18.2 0.4 15-Jun-25 16.6 0.4